我愛數學,尤其是優美、簡潔的數學。今天給大家介紹一道不太簡單的數學競賽題,但蠻有趣的。
AI既然這麼牛,那能不能解數學競賽題呢?我得試一試。題是這樣的:
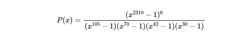
There is a polynomial P(x) with integer coefficients such that
holds for every 0<x<1.Find the coefficient of x2022 in P(x).
我先用Deepseek做了一下,然後就是解答過程,AI思考了260秒,說明題目還是較難,但它的答案出乎意料居然是對的。以下是它的解答過程:
然後我用Chatgpt做了一下,很快分析得出答案,但答案是錯的。以下是它的解答過程:
結果比較有趣,後續還會嘗試更多的問題,AI真是一項偉大的發明。
真人解題過程:
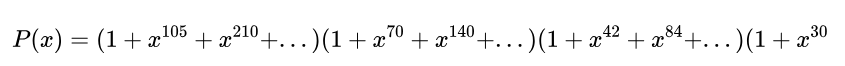
分析:這道題看起來很複雜,是一個高次分式,求的是x2022前面的係數。但我們可以觀察出30、42、70和105都是2310的因子,根據公式可以對他們進行展開和化簡。
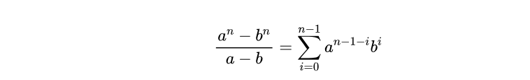
將分子拿出四次出來分別對應分母,用以下公式進行化簡:
化簡後可得到以下式子成立(完整式子往左邊拉可以看到):
本題要求的是x2022前面的係數,所以最後一個括號只能取1,因此無須考慮。只需考慮前面四個括號的數相乘。這四個括號裡面的數相乘可以有很多種組合能出現x2022,因為每個數前面的係數都是1,所以我們只需要考慮總共有多少種可能性就可以求出x2022前面的係數,即可能性的次數就等於x2022前面的係數。
通過觀察我們可以發現第一個括號裡面x的冪次都是105的倍數,第二個括號裡面x的冪次都是70的倍數,同樣第三、四個括號裡面x的冪次分別是42和30的倍數。一次我們可以得到包含所有可能性的等式:
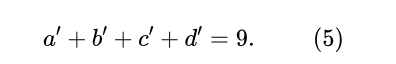
上式通過一些列的模運算可以利用球罐模型可以解決。首先將(1)式兩邊取模運算(mod2),可得:a≡0 (mod2),因此可得:a=2a',代入(1)式可得:
接下來將(2)式兩邊取模運算(mod3),可得:b≡0 (mod3),因此可得:b=3b',代入(2)式可得:
接下來將(3)式兩邊取模運算(mod5),可得:c≡1 (mod5),因此可得:c=5c'+1,代入(3)式可得:
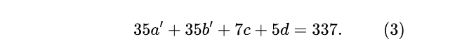
同樣的,接下來將(4)式兩邊取模運算(mod7),可得:d≡3 (mod7),因此可得:d=7d'+3,代入(4)式可得:
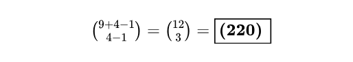
這很顯然是個球罐模型,相當於將9個球放到四個罐子裡,並且罐子可以為空,共有:
所以本題的答案為220,即x2022前面的係數為220. (ECONOMICS RULES)
