【Joe’s華爾街脈動】輝達中國銷售獲准、降息預期點燃科技股漲勢;台股劍指新高
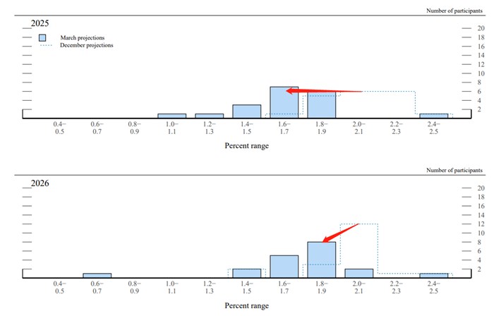
輝達獲准恢復對中高階晶片銷售,掃除關鍵地緣政治隱憂,助燃科技股飆漲,為台股創紀錄行情鋪路。Joe 盧, CFA | 2025年12月8日 美東時間摘要輝達H200晶片對中銷售獲准,加上對聯準會降息的高度預期,提振了風險偏好,全球股市有望上漲。在台積電美國存託憑證(ADR)大漲2.43%及AI供應鏈地緣政治風險降低的驅動下,台股大漲逾300點,收復28,000點大關。市場已反映週三聯準會降息機率近90%,並靜待2026年政策路徑指引,公債殖利率微幅走高至4.17%。川普政府有條件批准輝達對中國出口先進AI晶片,成為科技產業最主要的正向催化劑。儘管市場風險偏好情緒高漲,黃金仍持穩於每盎司4,200美元附近,顯示儘管投資者逢低買進科技股,但對長期經濟前景仍保持謹慎。市場迎來了雙重樂觀情緒的強力注入。首先,川普政府有條件批准輝達(NVIDIA)恢復對中國出口其先進的H200 AI晶片,此舉掃除了一直困擾半導體產業的巨大地緣政治隱憂。此一包含與美國政府達成營收分享協議的政策轉向,立即受到投資者歡迎,推升輝達股價上揚,並點燃了AI相關個股的廣泛漲勢。其次,市場已有效地鎖定聯準會週三的降息決議,隱含機率盤旋在近90%。監管壓力緩解與即將到來的貨幣支持相結合,已重新點燃市場的風險偏好,驅動標普500指數與那斯達克指數重返歷史高點附近。此一具建設性的背景,正成為台灣市場的火箭燃料。台股加權指數(TAIEX)大漲超過322點,收在28,303點,果決地收復了具心理重要性的28,000點大關。此波漲勢由台積電(TSMC)領軍,其美國存託憑證(ADR)隔夜大漲2.43%,反映了這家晶圓代工巨擘將從中國對高階AI晶片重燃的需求中直接受益。技術指標已全面轉為看漲,隨著法人機構為年底績效的「作帳行情」現已展開,阻力最小的路徑是向上。市場總市值正逼近歷史性的新台幣百兆元里程碑,突顯了此波由流動性驅動的漲勢之規模。然而,盤面之下正浮現分歧。當大型科技股與AI龍頭上漲之際,其他板塊則顯現壓力跡象。邁威爾科技(Marvell Technology)因對其超大規模資料中心業務的擔憂而下跌近7%,突顯了即使在成長股交易中,投資者也變得更具辨別力。此外,儘管黃金維持在歷史高點附近,但比特幣相較於股市的表現則顯得溫吞,顯示投機狂熱並不如先前幾波漲勢那般猖獗。在我們進入聯準會會議之際,關鍵的風險已非降息本身,而是前瞻指引。若聯準會釋出的2026年路徑比市場預期的更為謹慎,當前的 euphoric 情緒可能將面臨迅速的考驗。週一資產焦點:美國股市與個股趨勢本摘要總結了美國主要股價指數及領先企業為期一週的趨勢變化。此等指標僅供參考,不構成任何買賣證券的建議。圖表一:美國股價指數(美元計價)道瓊工業平均指數(代表性ETF: DIA): 當前: ▲▲, 一週前: ▲標普500指數(代表性ETF: SPY): 當前: ▲▲, 一週前: ▲那斯達克綜合指數(代表性ETF: QQQ): 當前: ▲▲, 一週前: ▲羅素2000指數(代表性ETF: IWM): 當前: ▲, 一週前: --費城半導體指數(代表性ETF: SOXQ): 當前: ▲▲, 一週前: ▲美國股市基準指數普遍觀察到一致的趨勢轉強。道瓊工業平均指數、標普500指數、那斯達克綜合指數及費城半導體指數,皆從溫和正向轉強為強勁正向。此一正面動能亦擴及小型股,羅素2000指數的指標從中性轉為溫和正向。此數據指向美國更廣泛市場的前景已出現同步改善。圖表二:美國前五大企業(美元計價)輝達(NVIDIA Corp, NVDA): 當前: ▲, 一週前: ▼蘋果(Apple Inc, AAPL): 當前: ▲▲, 一週前: ▲▲微軟(Microsoft Corp, MSFT): 當前: ▼, 一週前: ▼亞馬遜(Amazon.com Inc, AMZN): 當前: ▼, 一週前: ▲Alphabet Inc Class A (GOOGL): 當前: ▲▲, 一週前: ▲▲美國最大型的企業中,出現了好壞參半的趨勢變化格局。輝達(NVIDIA)出現趨勢反轉,從溫和負向改善至溫和正向。相較之下,亞馬遜(Amazon)的評估則轉弱,從溫和正向轉為溫和負向。蘋果(Apple)和Alphabet維持其強勁正向的趨勢,而微軟(Microsoft)則守住其溫和負向的評級。這顯示這些大型科技龍頭呈現的是獨特的個股趨勢樣貌,而非群體一致的走勢。📲加入我們的專屬頻道,即可獲取我們的跨資產趨勢指標矩陣,以及專家嚴選的投資內容。💬透過LINE與我們聯繫,即可加入社群。如果您覺得這份研究有價值:👍為這篇文章按讚。📰追蹤此部落格,獲取最新的市場動態。➡️分享給其他關注美股和台股市場的投資者。本電子報僅供參考,不構成任何證券或資產類別的投資建議或買賣推薦。文中所表達的觀點為作者截至發布日期的觀點,如有變動,恕不另行通知。所呈現的資訊乃基於從相信可靠的來源所獲取的數據,但其準確性、完整性和及時性不作保證。過往表現並非未來結果的指標。投資涉及風險,包括可能損失本金。讀者在做出任何投資決策前,應諮詢其財務顧問。作者及相關實體可能持有本文所討論的資產或資產類別的部位。NVIDIA's China Win and Fed Cut Hopes Ignite Tech Rally; TAIEX Targets New HighsApproval for NVIDIA to resume high-end chip sales to China removes a key geopolitical overhang, fueling a tech surge that positions the TAIEX for a record-breaking run.By Joe 盧, CFA | 2025-12-08Executive SummaryGlobal equities are poised for gains as the approval of NVIDIA's H200 chip sales to China and high expectations for a Federal Reserve rate cut boost risk appetite.The TAIEX surged over 300 points to reclaim the 28,000 level, driven by a 2.43% jump in TSMC's ADR and reduced geopolitical risk for the AI supply chain.Treasury yields ticked higher to 4.17% as markets priced in a near 90% probability of a Wednesday Fed rate cut while awaiting guidance on the 2026 policy path.The Trump administration's conditional approval for NVIDIA to export advanced AI chips to China served as the primary positive catalyst for the technology sector.Gold held firm near $4,200/oz despite the risk-on mood, signaling that investors remain cautious about the long-term economic outlook even as they buy the dip in tech.The market has received a powerful dual-injection of optimism. First, the Trump administration’s conditional approval for NVIDIA to resume exporting its advanced H200 AI chips to China removes a massive geopolitical overhang that has plagued the semiconductor sector. This policy shift, which includes a revenue-sharing agreement with the U.S. government, was immediately cheered by investors, sending NVIDIA shares higher and sparking a broad rally in AI-related stocks. Second, the market has effectively locked in a Federal Reserve rate cut for Wednesday, with the implied probability hovering near 90%. This combination of eased regulatory pressure and imminent monetary support has reignited risk appetite, driving the S&P 500 and Nasdaq back toward record highs.This constructive backdrop is acting as rocket fuel for the Taiwan market. The TAIEX surged over 322 points to close at 28,303, decisively reclaiming the psychologically important 28,000 level. The rally was spearheaded by TSMC, whose ADR jumped 2.43% overnight, reflecting the direct benefit the foundry giant will see from renewed Chinese demand for high-end AI silicon. Technical indicators have turned bullish across the board, and with institutional "window dressing" for year-end performance now underway, the path of least resistance is higher. The market capitalization is approaching the historic NT$100 trillion milestone, underscoring the magnitude of this liquidity-driven advance.However, a divergence is emerging under the surface. While mega-cap tech and AI leaders are rallying, other segments are showing signs of stress. Marvell Technology fell nearly 7% on concerns about its hyperscaler business, highlighting that investors are becoming more discerning even within the growth trade. Additionally, while gold remains near record highs, Bitcoin's performance has been tepid compared to equities, suggesting that speculative fervor is not as rampant as in previous rallies. As we head into the Fed meeting, the key risk is not the rate cut itself, but the forward guidance. If the Fed signals a more cautious path for 2026 than the market expects, the current euphoria could face a swift test.Monday Asset Focus: U.S. Equity & Company TrendsThis brief summarizes 1-week trend changes for major U.S. equity indices and leading U.S. companies. The indicators are for informational purposes only. This is not a recommendation to buy or sell any security.Exhibit 1: U.S. Equity Indices (in USD)Dow Jones Industrial Average (Proxy ETF: DIA): Current: ▲▲, Last Week: ▲S&P 500 Index (Proxy ETF: SPY): Current: ▲▲, Last Week: ▲Nasdaq Composite (Proxy ETF: QQQ): Current: ▲▲, Last Week: ▲Russell 2000 Index (Proxy ETF: IWM): Current: ▲, Last Week: --PHLX Semiconductor Index (Proxy ETF: SOXQ): Current: ▲▲, Last Week: ▲A uniform strengthening of trend assessments was observed across U.S. equity benchmarks. The Dow Jones Industrial Average, S&P 500, Nasdaq Composite, and PHLX Semiconductor Index all improved from mildly positive to strongly positive. This positive momentum also extended to small-cap stocks, with the Russell 2000 indicator moving from neutral to mildly positive. This data points to a cohesive improvement in the outlook for the broader U.S. market.Exhibit 2: Top 5 U.S. Companies (in USD)NVIDIA Corp (Ticker: NVDA): Current: ▲, Last Week: ▼Apple Inc (Ticker: AAPL): Current: ▲▲, Last Week: ▲▲Microsoft Corp (Ticker: MSFT): Current: ▼, Last Week: ▼Amazon.com Inc (Ticker: AMZN): Current: ▼, Last Week: ▲Alphabet Inc Class A (Ticker: GOOGL): Current: ▲▲, Last Week: ▲▲A mixed set of trend changes occurred among the largest U.S. companies. NVIDIA saw a trend reversal, improving from mildly negative to mildly positive. In contrast, Amazon’s assessment weakened, shifting from mildly positive to mildly negative. Apple and Alphabet maintained their strongly positive trends, while Microsoft held its mildly negative rating. This suggests distinct, individual trend profiles for these mega-cap technology leaders rather than a group movement.📲Join our private channels to gain access to our cross-asset Trend Conviction Matrix and expert-curated investment content.💬Connect with us on LINE to join the group.if you found this research valuable:👍'Like' this post.📰Follow this blog for new market updates.➡️Share it with others who track U.S. and Taiwan markets.This newsletter is provided for informational purposes only and does not constitute investment advice or a recommendation to buy or sell any security or asset class. The views expressed are those of the author as of the date of publication and are subject to change without notice. Information presented is based on data obtained from sources believed to be reliable, but its accuracy, completeness, and timeliness are not guaranteed. Past performance is not indicative of future results. Investing involves risks, including the possible loss of principal. Readers should consult with their own financial advisors before making any investment decisions. The author and associated entities may hold positions in the assets or asset classes discussed herein.立即加入《Joe’s 華爾街脈動》LINE@官方帳號,獲得最新專欄資訊(點此加入)關於《Joe’s 華爾街脈動》鉅亨網特別邀請到擁有逾 22 年美國投資圈資歷、CFA 認證的機構操盤人 Joseph Lu 擔任專欄主筆。Joe 為台裔美國人,曾管理超過百億美元規模的基金資產,並為總資產高達數千億美元的多家頂級金融機構提供資產配置優化建議。Joe 目前帶領著由美國頂尖大學教授與博士組成的精英團隊,透過獨家開發的 "趨勢脈動 TrendFolios® 指標",為台灣投資人深度解析全球市場脈動,提供美股市場第一手專業觀點,協助投資人掌握先機。
獨家:馬斯克和賈伯斯的最大不同
在科技創業的星空中,馬斯克和賈伯斯是兩顆無法被忽視的超新星。一個用 iPhone 重新定義人類的數字生活,把消費電子做成了藝術,讓蘋果成為全球市值最高的公司之一;一個用特斯拉顛覆百年汽車工業,用 SpaceX 打破航天壟斷,甚至妄圖把人類送上火星,建構跨星球文明。2025 年,當馬斯克的 “星艦” 完成第 11 次試飛,實現 “發射 - 再入 - 回收” 完整閉環,距離火星移民又近一步時;當蘋果仍在為折疊屏 iPhone 的 “無摺痕” 目標反覆打磨,堅守極致體驗底線時,我們才猛然發現:這兩位改變世界的創業者,看似都站在創新之巔,實則走在兩條完全不同的賽道上。今天,我們就用商業邏輯拆解這場 “時代雙雄” 的核心差異:賈伯斯是 “以體驗為魂的生態建構者”,馬斯克是 “以原理為根的顛覆革命者”。看懂他們的不同,你不僅能理解科技創業的兩種終極形態,更能找到屬於自己的創新底層邏輯。Part 1創業起點:“解決體驗痛點” vs “打破行業宿命”創業的初心,往往奠定了企業的基因。馬斯克和賈伯斯的創業之路,從一開始就寫滿了不同的底層邏輯。賈伯斯的創業起點,是 “修復不完美的使用者體驗”。他從不是底層技術的發明者,卻是 “技術整合的大師”—— 擅長髮現現有技術的體驗短板,用極致設計和生態閉環,把 “能用” 變成 “愛用”。1976 年創辦蘋果,核心是因為當時的個人電腦操作複雜,普通人望而卻步。他和沃茲尼亞克打造的 Apple II,第一次讓電腦有了親民的操作介面,不再是工程師的專屬工具;1998 年推出 iMac,彩色透明的設計打破了電腦 “黑盒子” 的沉悶,配上 “一鍵上網” 功能,讓無數家庭第一次擁抱網際網路;而 2007 年的 iPhone,更是把 “體驗革命” 推到極致 —— 當時的智慧型手機全是物理鍵盤,操作繁瑣,他整合了多點觸控、iOS 系統和 App Store,打造出 “無鍵盤全觸控” 的一體化產品,讓 “手機變成掌上型電腦” 成為現實。賈伯斯的邏輯從來不是 “發明新技術”,而是 “讓技術更好用”。他發現人們聽音樂時,CD 攜帶不便、歌曲篩選麻煩,就推出 iPod+iTunes 的閉環 ——iPod 小巧便攜,iTunes 解決版權和管理問題,讓 “把 1000 首歌裝進口袋” 成為可能;他反感電腦和裝置之間的連接繁瑣,就建構了蘋果生態,讓 Mac、iPhone、iPad 之間無縫同步,不用操心格式相容、資料傳輸的麻煩。就像一位頂級廚師,不用自己種食材,卻能把普通食材做成米其林盛宴。馬斯克的創業起點,則是 “用第一性原理打破行業宿命”。他從一開始就不滿足於最佳化現有體驗,而是直擊行業最核心的 “不可能”—— 要麼是成本高到離譜,要麼是技術被認定為不可突破,他要做的就是把這些 “宿命” 踩在腳下。2002 年創辦 SpaceX,核心是因為航天行業被 “火箭一次性使用” 的慣例綁架,單次發射成本高達 1.8 億美元,普通人根本無法觸及太空。馬斯克用第一性原理拆解:火箭的材料成本僅佔成品價格的 2%,剩下 98% 的成本都來自低效的生產和外包模式。於是他決定自建工廠、自主研發,硬生生搞出可回收火箭,把單次發射成本降到 900 萬美元以下,直接改寫了航天經濟規則。2004 年介入特斯拉,當時行業共識是 “電動車電池成本不可能低於 600 美元 / 千瓦時”,商業化純屬天方夜譚。馬斯克再次拆解:電池的本質是鋰、鈷、鎳等原材料,按大宗商品價格計算,理論成本僅 80 美元 / 千瓦時。他隨即自建超級工廠,創新 4680 無極耳電池結構,垂直整合供應鏈,最終把電池成本壓到 139 美元 / 千瓦時,讓電動車從 “奢侈品” 變成 “日用品”。馬斯克的邏輯從來不是 “最佳化現有模式”,而是 “重構底層邏輯”。他覺得城市交通擁堵無解,就質疑 “為什麼交通只能在二維平面”,創辦 The Boring Company 挖地下隧道;他覺得腦機介面創傷太大,就用柔性材料和縫紉機器人,開發出直徑僅 4-6 微米的神經線,徹底改變腦機介面技術範式。就像一位無畏的探險家,不滿足於走現成的路,非要炸開山脈開闢新航道。兩種起點的差異,本質是兩種創新觀的分野:賈伯斯信奉 “體驗為王”,讓技術服務於人;馬斯克信奉 “技術破局”,讓人突破技術的邊界。沒有對錯,卻直接決定了他們的創業軌跡。Part 2戰略邏輯:“聚焦單點的生態閉環” vs “多線平行的技術輻射”如果說創業起點是基因,那戰略選擇就是企業的成長路徑。馬斯克和賈伯斯的戰略差異,堪稱 “精耕細作” 與 “開疆拓土” 的經典對比。賈伯斯的戰略核心,是 “聚焦單點,做深閉環”。他的信條是 “把一件事做到極致,比做十件平庸的事更有價值”。縱觀他的創業生涯,從未涉足多個無關領域,始終聚焦消費電子,卻把生態壁壘建得堅不可摧。1997 年回歸蘋果時,公司瀕臨破產,產品線混亂,有幾十款不同型號的電腦。賈伯斯做的第一件事就是 “砍砍砍”—— 只保留 4 款產品:面向專業使用者的 Power Macintosh G3、面向普通使用者的 iMac,再各分筆記本和桌上型電腦版本。他說:“決定不做什麼,和決定做什麼一樣重要”。正是這種極致聚焦,讓蘋果集中資源打造出 iMac 這款爆款,一年就實現盈利,起死回生。在產品生態上,賈伯斯堅持 “封閉閉環”。他要求蘋果的硬體、軟體、內容必須完全自研或稽核,不開放給第三方隨意修改。Mac 的作業系統不授權給其他廠商,iPhone 的 App 必須經過 App Store 稽核才能上架,甚至不允許使用者自己換電池。這種看似 “霸道” 的做法,卻保證了體驗的一致性 —— 不用操心軟體不相容、硬體出故障,每一個細節都在掌控之中。就像一個精密的鐘錶,每一個齒輪都完美咬合,最終成就了 “蘋果產品用著省心” 的口碑。賈伯斯的戰略,是 “單點突破 + 生態鎖死”。他用 iPhone 這個核心爆款打開市場,再用 App Store、iCloud、Apple Music 建構生態,讓使用者一旦用上蘋果產品,就很難切換到其他平台。資料顯示,蘋果使用者的復購率高達 75%,遠高於行業平均水平,這就是閉環生態的威力。他一輩子只專注消費電子一個領域,卻重新定義了個人電腦、智慧型手機、數字音樂、平板電腦四個行業,成為 “單點極致” 的典範。馬斯克的戰略核心,則是 “多線平行,技術輻射”。他的邏輯是 “不同領域的技術可以相互賦能,最終服務於宏大使命”。他同時管理特斯拉、SpaceX、Neuralink、The Boring Company 等 6 家公司,看似分散,實則每一個項目都在為 “讓人類成為跨星球文明” 的終極目標服務。特斯拉的核心技術,能為 SpaceX 提供支援 —— 電動車的電池管理技術,被應用到星艦的能源系統;特斯拉的自動駕駛演算法,能最佳化 SpaceX 的火箭回收姿態控制。反過來,SpaceX 的航天材料技術,又能提升特斯拉的車身強度和輕量化水平。這種 “技術交叉賦能”,讓他的每一個項目都不是孤立存在,而是形成了協同效應。馬斯克的戰略,是 “多線佈局 + 技術復用”。他在電動汽車、太空探索、腦機介面、地下交通等多個前沿領域同時發力,每一個領域都在挑戰行業天花板。有人質疑他 “資源分散,顧此失彼”,但他用結果證明:特斯拉成為全球電動車銷冠,SpaceX 拿下 NASA 的登月合同,Neuralink 成功完成人類腦機介面植入,The Boring Company 的隧道成本降到傳統方法的 1/10。就像一位高明的棋手,看似在不同角落落子,實則早已布下全域,最終形成不可阻擋的合力。兩種戰略的差異,背後是對 “成功邊界” 的不同認知:賈伯斯認為 “邊界越清晰,做得越極致”,所以聚焦單點,深挖生態;馬斯克認為 “邊界越廣闊,潛力越無限”,所以多線平行,技術輻射。Part 3困境應對:“曲線回歸的韌性堅守” vs “孤注一擲的高壓破局”創業路上,困境是常態。如何應對困境,最能體現創業者的底層邏輯。馬斯克和賈伯斯,給出了兩種截然不同的答案。賈伯斯應對困境的核心,是 “曲線蟄伏,韌性回歸”。他從不盲目硬剛,而是在逆境中積累力量,等待合適的時機重新出發。1985 年,賈伯斯因內部權力鬥爭被趕出自己創辦的蘋果公司,這對他來說是致命打擊。但他沒有沉淪,而是創辦了 NeXT 電腦公司,專注於高端教育和企業市場;同時收購了皮克斯動畫工作室,當時皮克斯還是一家名不見經傳的動畫特效公司。在 NeXT,他研發了先進的作業系統,為後來回歸蘋果打下技術基礎;在皮克斯,他推出了全球第一部全電腦動畫電影《玩具總動員》,斬獲奧斯卡獎,讓皮克斯成為動畫行業的巨頭。1997 年,蘋果瀕臨破產,董事會不得不請賈伯斯回歸。此時的他,已經不是當年的毛躁創業者,而是手握技術、經驗和資源的成熟領袖。他迅速砍掉冗餘產品線,推行封閉生態戰略,用 iMac、iPod 等一系列爆款產品,讓蘋果起死回生,最終成為全球最有價值的公司。賈伯斯的困境應對,就像一位武林高手,遭遇重創後選擇閉關修煉,等到重出江湖時,已是天下無敵。他的韌性還體現在對產品的堅守上。研發 iPhone 時,團隊曾因多點觸控技術不成熟、電池續航不足等問題陷入困境,有人建議降低標準,先推出一款 “合格” 的產品。但賈伯斯堅決反對,他說 “要麼做最好的,要麼就不做”。最終,團隊在他的 “現實扭曲力場” 激勵下,突破了一個又一個技術難關,打造出劃時代的 iPhone。馬斯克應對困境的方式,則是 “孤注一擲,高壓破局”。他一旦認定方向,就會押上全部身家,用極致高壓推動團隊突破極限,那怕面臨破產風險也絕不退縮。2008 年是馬斯克的 “至暗時刻”:SpaceX 的前三次火箭發射全部失敗,耗盡了他大部分財富;特斯拉 Roadster 研發超支,每輛車成本高達 14 萬美元,公司帳上只剩不足 50 萬美元,連工資都發不出來;恰逢金融危機,投資人集體觀望,融資無門。此時的馬斯克,賣掉了加州的豪宅、私人飛機,刷爆了信用卡,甚至挪用 SpaceX 的資金給特斯拉發工資,把自己逼到了絕境。他後來回憶:“如果那筆融資沒到帳,我們會在 2008 年聖誕節之後宣佈破產”。萬幸的是,聖誕節當天,特斯拉成功拿到 4000 萬美元 D 輪融資,SpaceX 的第四次發射也成功了,NASA 隨即拋出 16 億美元的訂單,讓他絕處逢生。2017 年,特斯拉 Model 3 陷入 “量產地獄”,目標是每周生產 5000 輛,實際產量不足 1000 輛。馬斯克直接搬進工廠,睡在地板上,喝紅牛充飢,要求團隊 “要麼達成目標,要麼滾蛋”。他砍掉冗餘流程,甚至親手拆除價值百萬的低效機器人,用工人取代自動化裝置,最終在高壓下將產能提升至目標水平。這種 “地獄模式” 的應對方式,讓特斯拉熬過了最艱難的時刻,為後來的爆發奠定了基礎。馬斯克的困境應對,就像一位背水一戰的將軍,燒掉退路,帶領士兵衝向敵人的陣地。他曾說:“如果某事足夠重要,即使勝算低,你也要做”。這種孤注一擲的賭徒精神,讓他在一次次絕境中創造奇蹟,但也引發了不少爭議 —— 高壓管理導致團隊頻繁換血,激進決策有時會引發系統性風險。兩種應對方式的差異,本質是兩種生存哲學:賈伯斯信奉 “韌性比剛性更重要”,所以曲線蟄伏,等待時機;馬斯克信奉 “極致壓力催生極致突破”,所以孤注一擲,硬剛到底。Part 4底層哲學:“體驗至上的人文主義” vs “技術為王的未來主義”看到這裡,你可能會說:“不就是聚焦和擴張的區別嗎?” 其實不然。馬斯克與賈伯斯的最大不同,是底層哲學的差異 —— 一個以 “人文體驗” 為核心,一個以 “技術未來” 為核心。賈伯斯的底層哲學,是 “人文與科技的結合”。他始終認為,科技的終極意義是服務於人,而不是技術本身。他不是工程師,卻是最懂使用者的產品經理,他的所有決策,都圍繞 “讓使用者體驗更完美” 展開。他對產品細節的追求達到了偏執的程度:iPhone 的螢幕必須是視網膜等級,那怕成本翻倍;手機的倒角弧度要經過上百次調整,直到手感最佳;甚至電路板內部的布線,也要做到整齊美觀,因為 “使用者看不到不代表可以敷衍”。他的 “現實扭曲力場”,本質上是對 “完美體驗” 的極致堅持 —— 他能讓團隊相信,那些看似不可能的體驗目標,一定能實現。賈伯斯的哲學裡,“產品即藝術”。他把禪修的極簡主義融入產品設計,去掉所有多餘的按鈕、介面和裝飾,追求 “少即是多”。iPhone 只有一個 Home 鍵,MacBook 的機身沒有多餘的線條,這種極簡設計不僅美觀,更降低了使用者的學習成本。他曾說:“設計不僅僅是外觀和感覺,而是產品如何運作”。這種對體驗的極致追求,讓蘋果產品超越了 “工具” 的屬性,成為一種生活方式的象徵。馬斯克的底層哲學,是 “技術驅動的未來主義”。他堅信,技術是推動人類進步的唯一力量,只有不斷突破技術邊界,才能讓人類文明走向更遙遠的未來。他的所有決策,都圍繞 “實現宏大使命” 展開,使用者體驗是重要的,但不是第一位的。他的 “第一性原理” 思維,本質上是對 “技術本質” 的極致探索 —— 不被行業慣例、經驗常識束縛,回歸物理本質拆解問題,尋找最優解。研發火箭時,他不遵循航天行業的傳統模式,而是從材料、結構、發動機等底層重新設計;研發電動車時,他不採用傳統車企的供應鏈,而是自建工廠、自研電池和晶片。他曾說:“多數人透過類比推理,但第一性原理要求我們剝離既有假設,直指物理本質”。馬斯克的哲學裡,“使命即方向”。他的目標從來不是賺錢,而是 “讓人類成為跨星球文明”。為了這個使命,他可以忍受特斯拉連續多年虧損,投入數百億研發星艦;可以不顧爭議收購推特,試圖打造 “言論自由的堡壘”;可以冒著巨大風險研發腦機介面,希望解決人類神經疾病問題。他的產品,更像是實現使命的 “工具”—— 特斯拉是為了減少化石燃料依賴,為火星移民積累能源技術;SpaceX 是為了打造太空運輸系統,讓人類能登陸火星。兩種哲學的差異,本質是兩種價值觀的分野:賈伯斯關注 “當下的人”,讓科技讓生活更美好;馬斯克關注 “未來的人”,讓科技讓人類走得更遠。Part 5終極啟示:創業的本質,是 “人文” 與 “技術” 的平衡馬斯克與賈伯斯的最大不同,從來不是 “誰更偉大”,而是兩種科技創業的終極範式:賈伯斯是 “人文驅動的體驗派”,核心是 “用極致體驗改變當下”;馬斯克是 “技術驅動的使命派”,核心是 “用底層創新開拓未來”。賈伯斯的成功,證明了 “體驗至上” 的力量。在技術同質化的時代,誰能更懂使用者,誰能把體驗做到極致,誰就能建立不可替代的品牌壁壘。他的模式適合大多數創業者 —— 不需要顛覆底層技術,只要找到使用者的痛點,用整合創新的方式最佳化體驗,就能打造出成功的產品。馬斯克的成功,證明了 “技術破局” 的力量。在行業被傳統模式綁架的時代,誰能打破思維定勢,誰能突破技術邊界,誰就能開闢全新的賽道。他的模式適合有遠大抱負的創業者 —— 需要有深厚的技術積累、超強的抗壓能力和孤注一擲的勇氣,才能實現從 0 到 1 的顛覆。但這兩種模式並非對立,而是互補。蘋果在賈伯斯去世後,也開始注重底層技術研發,自研 M 系列晶片、推進衛星通訊功能;馬斯克的特斯拉,在突破技術瓶頸後,也在不斷最佳化使用者體驗,通過 OTA 升級持續提升車輛性能。創業的本質,從來不是非此即彼的選擇,而是 “人文” 與 “技術” 的平衡:用人文關懷找到使用者需求,用技術創新實現需求突破。對於普通人來說,這兩位傳奇創業者的故事帶來的啟示,遠比 “做什麼產品” 更重要:如果你是產品人,不妨學賈伯斯的 “體驗思維”—— 多站在使用者的角度思考,把每一個細節做到極致,讓產品有溫度、有靈魂;如果你是技術人,不妨學馬斯克的 “第一性原理”—— 敢於質疑常識,回歸本質思考,用技術解決真正的硬問題。如果你是初創者,不妨先學賈伯斯的 “聚焦戰略”—— 集中資源打造一款爆款產品,建立使用者認知;如果你有遠大抱負,不妨學馬斯克的 “使命驅動”—— 設定一個宏大的目標,用技術和韌性一步步實現。科技的進步,從來都需要兩種力量:一種是賈伯斯式的 “溫柔革新”,讓技術更好地服務於人;一種是馬斯克式的 “硬核突破”,讓人類不斷突破邊界。這兩種力量相輔相成,共同推動著世界向前發展。 (頭狼加速營)
深扒Meta收購Manus的背後:一場AI時代的生死卡位戰
2025年臨近收尾,一則併購引發全球科技圈和資本圈的關注。一場閃電般的收購將一家中國AI創業公司推向全球科技舞台中央。2025年12月,據《晚點LatePost》獨家報導,Meta以數十億美元完成了對AI應用Manus開發商蝴蝶效應的收購。整個談判過程異常迅速,僅用了十餘天。當Meta官宣以數十億美元拿下AI智能體公司Manus時,整個行業的神經都被觸動了——這不僅是Meta成立以來第三大收購案,更被視作AI競賽從"拼模型參數"轉向"拼應用落地"的標誌性事件。有人說這是祖克柏砸錢買船票,有人惋惜中國創業公司的"流失",但這場交易的份量,遠不止表面的資本遊戲那麼簡單。今天我們就扒一扒,這樁併購背後藏著的投資邏輯。一、為何全網都在盯這場收購?科技圈天天有併購,為何Meta收Manus能引發全民級關注?核心在於三個"打破常規"的細節,每一個都戳中了行業的敏感神經。首先是談判速度快得離譜。真格基金合夥人劉元作為Manus的天使投資人,在接受採訪時直言"快到還懷疑過這是不是一個假的offer"。從接觸到敲定,整個談判僅用了十餘天,這對於數十億美元等級的跨國併購來說,簡直是"閃電戰"等級。要知道,Meta當年收購WhatsApp談了近一個月,收購Scale AI更是拉鋸了兩個多月,這種速度背後,是雙方對AI智能體賽道的迫切與共識。其次是標的估值飆升太誇張。收購前,Manus正在進行新一輪融資,當時的估值不過20億美元,而Meta的收購價直接給到了"數十億美元"的等級,相當於短時間內估值翻倍還多。更關鍵的是,這家成立僅三年的公司,2025年初的年化營收才1.25億美元,卻能撬動巨頭的天價收購,這種"高溢價"讓市場重新審視AI應用層的價值——原來能解決實際問題的AI產品,比單純的技術概念值錢多了。最後是中國創業團隊的全球化宿命。Manus的母公司蝴蝶效應,創始人肖弘是華中科大畢業生,創業起點就在武漢,早期靠微信生態工具起家。這樣一支帶著中國基因的團隊,最終被美國巨頭收入麾下,創始人還將出任Meta副總裁,這讓不少人感慨:中國創業者能在全球AI舞台競技是好事,但為何頂尖應用創新最終多被海外巨頭收割?這種複雜的情緒,讓這場收購超越了商業本身,成了科技生態的反思樣本。二、併購核心要點拆解拋開情緒層面的討論,我們用財經視角拆解這場交易的核心要素,看清Meta到底買了啥、Manus又得到了啥。先看交易核心參數。根據《晚點 LatePost》的獨家報導,此次交易金額為數十億美元,具體數字雖未完全披露,但已明確是Meta史上第三大收購,僅次於220億美元收購WhatsApp和140億美元收購Scale AI 49%股權。收購前Manus的融資處理程序也很關鍵:2023年種子輪估值僅1400萬美元,2025年4月B輪估值漲到5億美元,半年後被收購時估值直接翻倍,這種增長速度在AI創業公司中實屬罕見。再看雙方的核心籌碼。Meta買的不是一個簡單的App,而是三重核心價值:一是技術能力,Manus的規劃執行驗證三層架構,能呼叫23類工具鏈,在GAIA基準測試中精準率達到86.5%,遠超同類產品;二是商業化驗證,Manus的訂閱制模式已經跑通,年化營收過億美元,能讓Meta的AI投入快速看到回報;三是團隊能力,創始人肖弘的產品手感的團隊的落地能力,正是工程師文化主導的Meta所欠缺的。而Manus獲得的,是Meta的生態加持。根據協議,蝴蝶效應將保持獨立營運,這意味著團隊不會被巨頭同化;同時能借助Meta的Llama大模型、Quest頭顯硬體、全球數十億社交使用者資源,把智能體能力滲透到更多場景。肖弘在官宣時也直言:"攜手Meta能讓我們在不改變運作方式的前提下,獲得更強大的發展基礎。"三、交易背景祖克柏今年7月在一封公開信中寫道:“超級智能將帶來個人賦能的新時代:它賦予人們更強大的行動力,讓我們能按自己的意願去推動建設世界。”對Meta而言,收購Manus正是推進“超級智能”願景的重要一步。Meta正在積極與OpenAI、Google和微軟等競爭對手展開AI競賽。沒有無緣無故的收購,這場"閃電聯姻"的背後,是Meta的迫切需求和Manus的發展瓶頸,兩者的相遇更像是必然。祖克柏已將AI確定為公司最優先事項,並承諾在未來三年內投入6000億美元用於美國基礎設施項目,其中多數與AI相關。今年夏天,Meta向頂尖的AI研究者開出上億美元年薪offer,重組AI研究團隊。先說說Meta的AI焦慮。祖克柏早就把AI定為公司"首要戰略任務",甚至超過了曾經押注的元宇宙。為了追趕OpenAI和Google,Meta做了不少動作:開源Llama大模型、成立超級智能實驗室、140億美元收購Scale AI股權。但問題很突出:有底層技術卻缺殺手級應用。Meta的AI能力大多停留在實驗室層面,無法轉化為讓普通使用者感知的產品,更沒有清晰的盈利路徑。投資者已經開始焦慮,畢竟持續燒錢卻不見回報的遊戲玩不長久。這時候,跑通商業化的Manus出現,正好補上了Meta的短板。再看Manus的成長瓶頸。作為一家初創公司,Manus雖然增長迅猛,但面臨著三大難題:一是算力成本壓力,AI智能體的運行需要海量算力,隨著使用者增長,算力開支越來越大;二是生態壁壘不足,單靠一款產品很難對抗巨頭的生態圍剿;三是監管風險,作為全球化產品,不同地區的監管要求不同,需要強大的合規團隊支撐。這些問題,都是Meta這樣的巨頭能輕鬆解決的。更關鍵的行業背景是,AI競爭已經進入新階段。前幾年大家還在比大模型參數、比算力儲備,2025年開始,行業共識已經轉向"應用落地"——誰能讓AI真正幫人做事,誰就能掌握主動權。高雲程早就判斷"2026年是AI Agent普及元年",Meta此時收購Manus,就是想提前卡位這個黃金賽道,避免在下一代AI競爭中掉隊。四、瘋狂的資本路徑蝴蝶效應的融資歷程,堪稱一部標準的“中國團隊創業、中國資本助推、最終美國巨頭收購”的當代科技劇本。2023年2月,真格基金以1400萬美元估值開啟種子輪;同年8月,又是真格基金,將估值推至5000萬美元。2024年11月,紅杉中國、騰訊等“中國大廠與頂級VC”聯盟加入A輪,估值8500萬美元。故事至此,仍是一個充滿本土希望的“中國故事”。轉折點出現在美元資本入場時。2025年4月,矽谷老牌風投Benchmark Capital領投B輪估值火箭般躥升至近5億美元。據《晚點LatePost》,在被Meta收購前,Manus正以20億美元的估值進行新一輪融資。而Meta最終的開價直接是“數十億美元”。五、行業思考Meta收購Manus不是孤立事件,而是AI產業發展的一個轉折點,將從根本上改寫行業的競爭規則、產業鏈分工和投資邏輯。第一個改變:巨頭併購潮將席捲AI Agent賽道。Meta的動作相當於給行業定了調:AI智能體是必爭之地。接下來,Google、OpenAI、字節跳動、騰訊這些巨頭肯定會跟風,中小AI創業公司將面臨"要麼被收購,要麼在垂直場景做深"的選擇。以前是小公司自己野蠻生長,現在巨頭直接下場"收割",賽道競爭將從技術研發轉向生態整合。有投資人已經預判:"未來一年,AI Agent賽道的中小公司要麼拿到巨頭投資,要麼被收購,純獨立發展的空間會越來越小。"第二個改變:AI產業鏈分工將徹底清晰。以前大家都在混戰,巨頭既做底層大模型,又做上層應用;小公司也想從模型到應用全覆蓋。這場收購後,行業會形成明確的三層分工:底層大模型(Meta/Llama、Google/Gemini)、中層智能體技術(Manus類企業)、上層垂直場景應用。巨頭掌控底層和中層核心環節,掌握話語權;創業公司則只能在醫療、教育、工業等垂直場景做定製化開發,靠差異化生存。第三個改變:中國科技生態的反思時刻。Manus的成長路徑很典型:中國團隊創業、中國資本早期助推(真格基金、紅杉中國、騰訊都投過),最終被美國巨頭天價收購。這讓不少人追問:為什麼我們能孵化出頂尖的AI應用團隊,卻留不住他們?早期國內大廠對Manus的收購報價僅數千萬美元,和Meta的數十億美元相差百倍,這種價值誤判反映出本土生態對AI應用價值的認知滯後。更值得深思的是,當中國創業者的頂尖成果最終流向海外巨頭時,我們的科技生態是否存在系統性失靈?還有一個風險點不能忽視:反壟斷監管的不確定性。歐美監管機構對科技巨頭在AI核心賽道的併購本來就高度敏感,Meta這次收購很可能觸發反壟斷審查。如果監管介入,不僅交易處理程序可能受影響,後續的業務整合也會添亂。另外,AI Agent技術路線還沒定型,要是Manus的技術方向和行業主流趨勢偏離,Meta的數十億美元投資可能面臨"打水漂"的風險。六、產業衝擊波研究機構預計,相比DeepSeek單次對話需1k Tokens,Manus的智能體任務單次Token需求高達100k,算力需求直接擴大了100倍。以Manus為代表的Agent應用帶來的算力消耗是純AI對話應用的百倍乃至更高。未來Agent應用全面爆發將帶來推理算力消耗佔比大幅提升,對國產算力需求構成長期支撐。Manus帶來的AI技能平權有望激起新一輪創新創業熱潮。它通過模型組合、多模型混合呼叫等創新,不需要開發者深入理解模型內部結構和微調演算法,也可以做出變革性產品。對於醫療、教育、金融等資料密集型行業,未來將逐步降低對大模型廠商的技術依賴,利用開源大模型並通過簡單的模型呼叫,也可以完成高性能智能體的搭建。七、AI時代的船票,從來都不是免費的Meta收購Manus的背後,是巨頭對AI未來的押注,也是行業發展階段的必然。這場交易告訴我們:AI競爭已經從"技術軍備競賽"進入"應用落地肉搏戰",能解決實際問題的AI產品才是真金白銀。對於投資者來說,要關注兩類機會:一是有AI Agent技術壁壘的平台型公司,二是在垂直場景落地的細分龍頭;而那些沒技術、沒場景的中小AI公司,大機率會被行業淘汰。至於Manus的"流失",與其惋惜,不如反思:如何打造一個能讓頂尖AI應用團隊紮根生長的生態?這可能比單純孵化出幾個明星項目更重要。畢竟,真正的科技強大,不是能培養出被巨頭收購的團隊,而是能留住他們,讓他們在本土生態中成長為引領行業的巨頭。這場收購不是結束,而是AI Agent時代的開始。 (投行圈子)
深網獨家 | Manus被Meta數十億美元收購背後:創始人肖弘復盤至暗時刻
12月30日,Meta宣佈完成一筆重量級併購,以數十億美元的價格收購AI Agent產品Manus背後的公司“蝴蝶效應”。這是Meta成立以來金額排名第三的收購,僅次於WhatsApp和Instagram。交易完成後,蝴蝶效應將保持獨立營運,其創始人、騰訊青騰校友肖弘將出任Meta副總裁。這筆交易的推進異常迅速。多位接近交易的人士透露,從雙方正式接觸到最終達成協議,整個談判周期僅十餘天。據悉,在收購發生前,蝴蝶效應正以約20億美元的估值推進新一輪融資。Meta對Manus的興趣並非偶然。祖克柏及多位Meta核心高管均為Manus的長期使用者。在Meta近期重組AI研究體系、高薪引入頂尖研究人員,並持續加大算力投入的背景下,這筆收購被視為其推進“超級智能”戰略的關鍵一步。蝴蝶效應成立於2021年,早期以瀏覽器AI外掛Monica切入市場,成為中國AI行業中少數實現盈利的應用產品。2024年3月,公司推出通用AI Agent產品Manus,能夠調度多種工具完成複雜任務,上線後迅速在國內外引發關注。其發展勢頭在2025年達到新的高峰:同年11月,Manus位列“全球最具潛力創業公司”榜單亞洲區第一。值得注意的是,其風靡全球的演示視訊,是團隊用借來的鏡頭、基礎的剪輯工具,在不到一周時間內趕製而成,體現了公司“在本質上重注,在形式上極簡”的極致效率文化。今年12月,公司宣佈年度經常性收入(ARR)突破1億美元,旋即迎來了Meta的收購邀約。對Meta而言,這並非一次單純的產品或團隊併入,而是一項圍繞AI應用形態的戰略佈局;而對這家源自中國的創業公司而言,Manus也由此被正式納入全球科技巨頭的核心體系之中。Meta超級智能實驗室(MSL)負責人Alexandr Wang(汪韜)轉發了相關消息,並配文稱,Manus團隊在探索當今大模型“能力過剩”問題上處於世界領先水平。此外,該實驗室正在新加坡擴展團隊,Manus原有約100名成員已加入其當地組織。獲得如此評價的Manus團隊,其發展路徑卻充滿非常規的選擇。過去兩年,肖弘主導了三次反共識決策:關乎“生死”,叫停研發七個月的AI瀏覽器項目,轉向為AI配獨立電腦;關乎“快慢”,在流量昂貴時堅持零市場預算,押注算力換體驗;關乎“組織”,推動80%程式碼由AI生成,探索“AI 時代公司形態”的未來。從連續創業者到Agent賽道領跑者,肖弘如何思考行業競爭與未來?近日,他與騰訊集團高級管理顧問、騰訊青騰教務長楊國安在《一問》欄目中展開深度對話,復盤Manus的取捨,並分享了他對AI時代產品邏輯及組織進化的思考。以下是對話整理,經精編如下:範式之變:當AI從“給答案”變成“給結果”楊國安:未來10年,AI對你所在行業最大的改變是什麼?肖弘:核心在於產品開發模式的重塑。軟體研發將更多由AI系統主導。在AI輔助下,我們能以更精銳的團隊,極大縮短開發周期。對生活的影響有兩點:一是產品迭代速度將快得超乎想像,衝擊各行各業;二是AI能力將普及化,每個人都需學會高效運用AI以實現自我提升。楊國安:你們相信“模型能力會外溢,應用是價值核心”,如何形成這個判斷?肖弘:這源於我們此前的連續觀察。做Monica(瀏覽器外掛)時,我們發現“上下文”是關鍵,於是讓外掛自動抓取網頁資訊,免去使用者複製貼上。後來Cursor火了,它證明當模型編碼能力成熟時,Chatbot並非最佳產品形態,需要一個更貼合編碼工作流的載體。這兩個案例讓我們意識到,技術能力一直在進化,但產品形態常常滯後。去年底,我們看到“Agent”這種能進行複雜規劃和自主執行的新能力出現,判斷它同樣缺乏好的產品化形態。這就是我們的機會:抓住模型能力外溢的窗口。楊國安:從給答案的Chatbot,到給結果的Agent,最本質的變化是什麼?肖弘:Chatbot給你一個答案,可能需要你再花兩小時把它變成結果。Agent則試圖直接交付那個結果。比如,做一個研究並生成精美的PPT,全程無需干預,只需幾分鐘。這帶來三個深遠變化:一是成本驟降,過去只有諮詢業能做的定製PPT,現在房產中介也能用AI生成;二是多樣性爆發,Agent可平行生成多個版本供你挑選;三是容錯性增強,任務失敗後它能自動反饋、重試,提高了完成率。楊國安:這會如何改變組織形態?肖弘:我們有一個更大膽的展望。一些用好了AI的大公司會變得更強大,但同時會出現大量微型個體。在AI的賦能下,一兩個人就能成就一項過去需要公司才能運作的事業。因為AI替他們省去了搭建組織、管理流程等複雜事務,直接交付結果。楊國安:我在“數智革新楊五環”的1.0版本研究集中在傳統行業的標準化、數位化、智能化,以實現降本增效和精準決策。但你剛才的觀點讓我很興奮——Agent能處理非標任務,這比標準化流程的潛力更大。若真實現,那些行業會受最大衝擊?肖弘:關鍵在於理解Agent是“思考+執行”。AI拓寬思考的廣度與深度,人則負責最終判斷與選擇。因此,衝擊將首先席捲高度數位化的“案頭工作”領域。給AI配一台“電腦”,而非“搶滑鼠”楊國安: Manus採用“大模型+雲端虛擬機器”的架構,核心優勢是什麼?肖弘:這是我們最關鍵的判斷之一。我們思考的終極問題是:AI的終極“外殼”是什麼?答案是:電腦。在數字世界裡,電腦是人類處理一切事務的終端。那麼,給AI配一台專屬電腦,它理論上就能像人一樣完成所有工作。虛擬機器的最大優勢,是能處理海量長尾任務。無論是安裝特定軟體,還是運行自己編寫的程式碼,AI都能在自己的虛擬環境裡完成。我記得第一次感到震撼,是看到Manus執行git clone命令,將開放原始碼專案下載到自己的“電腦”裡來解決問題——這像極了人類“使用工具”的行為。挑戰在於速度和資源消耗,但長期看這些問題會解決。而它能解決通用方案無法處理的長尾問題,這本身就構成了我們的護城河。楊國安:你們曾經投入七個月探索 AI 瀏覽器,但最終決定放棄。為什麼?肖弘:這確實是我們非常關鍵的一次戰略取捨。我們在2024年初立項做AI瀏覽器,在當時看來是一個非常順理成章的判斷。您可能知道,我們在Manus之前有一款產品叫Monica,它是一個瀏覽器外掛。當時我們想,既然我們在瀏覽器外掛上已經做得不錯了,為什麼不直接做一款瀏覽器呢?有了瀏覽器之後,一些任務就可以直接在瀏覽器內幫助使用者執行和完成。想到這個Idea 時,我們非常興奮,覺得它突破了瀏覽器外掛的天花板。我們大概花了六個多月時間去開發這款瀏覽器,從底層技術開始,我們自己編譯了開放原始碼的Chrome核心,然後將AI能力部署上去,讓它能夠在某些任務上實現自動化執行。但是,最終放棄的決定,是基於兩個核心原因:一個宏觀的戰略判斷;一個微觀的產品體驗問題。楊國安:那些改變公司命運的重大決策(如放棄瀏覽器、選擇全球化),背後的思考原則是什麼?肖弘:決策本身的邏輯很清晰:永遠從“技術能解決使用者的什麼根本問題”出發,再推導商業模式。真正的難度不在於分析,而在於有無勇氣堅持清晰的答案,並克服內部慣性,將其變為全組織的共識與行動。思考可能只需一個月,但落地執行往往更耗心力。楊國安:Agent技術落地的臨界點將取決於什麼?肖弘:我覺得可以從兩個層面來看。第一類,是您剛剛提到的核心基礎能力的提升。比如成本、速度、更長的上下文、以及在長上下文的指令遵循能力。這些都至關重要。成本和速度直接影響了產品是否能被更多使用者負擔和使用。指令遵循和上下文處理則影響了任務的完成率。這些能力我們一直在密切關注,一旦有新的突破,肯定會立即應用到產品化中。第二類,有一項能力是我個人比較期待的,它雖然已經被應用,但我預測在今年內或明年初會有比較大的突破,就是通用的電腦使用能力。這意味著AI自己能夠識別並掌握如何使用一個軟體。這項能力一旦突破,像Manus這種自帶虛擬機器的產品,就能夠完成更多專業軟體或特定行業軟體的應用。我們可以想像,未來你拿起手機,通過Manus就能讓它去完成一個本來需要在電腦上用行業專業軟體才能完成的事情。我認為這項能力即將實現突破。根據我們與研究員的觀察和交流,一旦突破,將解鎖更多的應用場景。楊國安:如果Agent能直接呼叫現有軟體,繞過人工操作,會帶來什麼變化?肖弘:最大的變化是“解放值守”。許多需要人坐在電腦前操作專業軟體的任務,未來可以由Agent自動完成。AI已能處理其中的基礎判斷。即使遇到關鍵節點,也可像手機安裝App時請求授權一樣,由人一鍵確認。這最終將徹底顛覆現有軟體的操作邏輯和人們的工作方式。用昂貴的算力換取增長楊國安:PC時代有“安迪-比爾定律”——硬體(英特爾)的提升總被軟體(微軟)消耗掉。這是否說明,價值是由“技術能力”和“應用能力”共同創造的?肖弘:是的,這正是我們的核心參照。“安迪-比爾定律”建立在摩爾定律之上,意味著算力增長必然催生更耗資源的應用。微軟當年就是依據對未來算力的預測來規劃Windows的。這直接啟發了我們的產品思路:在技術飛速進化的當下,我們是否可以暫時忽略成本與速度,只專注於打造極限質量的產品?我們跟蹤最前沿的模型,不計代價地追求最佳體驗。這與傳統網際網路平衡質量、速度、成本的思路截然不同,也是我們敢於將昂貴算力轉化為核心競爭力的原因。楊國安:你們堅持“產品驅動增長”,零市場預算,這種打法的持續性如何?肖弘:這個思考來源於我們做Monica時的觀察。我記得當時與一位企業家交流時,他提到今天AI產品的成本結構,以Monica為例:在2024年,約三分之一的成本是員工薪資,三分之一是Token(大模型呼叫)費用,另外三分之一是投放在網際網路廣告平台上的增長費用。那次對話對我的啟發很大。我就在想:如果我們做一款產品,持續有大量的成本投入到廣告平台,那麼我們的增長就很可能被網際網路巨頭廣告平台所定義。我記得當時的情況是,一旦我們快要盈利、有了好的利潤空間時,廣告平台就會立即漲價,這種模式幾乎是可計算的。這與消費品行業通過廣告平台獲取增長後面臨的問題是相似的。所以我當時思考:有什麼東西是今天很貴,但未來會很便宜的?以及有什麼東西是今天很便宜,但未來會越來越貴的?結論是:AI API(Token 成本)今天很貴,但從長期來看,受摩爾定律和底層技術發展的驅動,它一定會變得更便宜。網際網路使用者的價格卻在不斷上漲。在早期,使用者願意探索,但一旦產品與市場契合,現有玩家就會通過廣告平台來獲取使用者,推高整個行業的使用者獲取成本。基於這個判斷,我給團隊設定的目標是:我們能否做出一個讓使用者覺得非常厲害、願意主動告訴朋友的產品?在某種程度上,我們就將原本昂貴的Token成本轉化為我們的使用者獲取成本。隨著 Token成本越來越便宜,而使用者獲取成本越來越貴,這個模型就具備了長期可持續性。當時給團隊的目標是:創造出讓人感到驚豔、願意傳播的產品,並且做到零市場行銷預算。在Manus上線的前一周,我們開了一次內部會議,正式確定必須是零市場預算。所以,今年年初大家看到Manus在社交媒體上火爆,是因為我們在某種程度上打造出了使用者預期的產品。像一些意見領袖之所以轉發,正是因為它確實擁有令人震驚的體驗,實現了大家對未來 AI 產品的設想。楊國安:為何首選服務C端“獨狼型”使用者,而非B端?肖弘:底層判斷是技術階段匹配。AI Agent技術仍處早期,迭代極快。大企業需要確定性和穩定性,而個體用戶、自由職業者更能容忍變化、擁抱創新。在技術快速變化的早期,最大化發揮迭代速度優勢的,正是C端市場。楊國安:Manus的生存戰略是與巨頭合作共生。許多巨頭包括Anthropic、OpenAI、Google等,已經有可能會推出自己的Agent。那麼,你們如何在這些巨頭中找到合作共生的機會呢?肖弘:我們的策略是合作共生,扮演“最佳體驗整合者”。底層模型競爭激烈,沒有一家能持續壟斷所有能力。Manus作為應用層,可以靈活整合各家最優模型,理論上能為使用者提供比任何單一家都更極致的體驗。這類似手機廠商與晶片廠商的關係:我們雖不造晶片(模型),但憑藉對使用者需求的深度理解和巨大用量,能反推模型最佳化,形成共贏。楊國安:如何讓Manus突破早期使用者,被普通大眾廣泛接受?肖弘:關鍵在於兩點:一是產品體驗的絕對差異化。在ChatGPT已成習慣的海外市場,我們必須讓使用者一眼感知到不同。比如,Manus不僅給答案,還會主動生成一個可互動的網頁,讓“Agent給結果”變得可視、可感。二是進行“場景化”的市場傳播。我們正跳出AI圈,與各垂直行業的博主合作,讓他們基於自身真實需求使用Manus,並向其受眾展示具體的使用場景,用他們熟悉的語言來定義Manus的價值。當“一個人成為一家公司”楊國安:當AI全面重構工作流,組織的核心任務似乎正在發生轉變。從你們的實踐看,這是否意味著傳統以管控和協作為主的模式需要被重新定義?你們強調“增強”並借此做出顛覆性決策,這套新模式的底層邏輯是什麼?肖弘:我們的實踐正是對這三個問題的同步回答。首先在組織上,我們正回歸一種更緊密的協作形態。即便公司規模擴大,我們幾位核心合夥人最近又重新坐在一個小房間裡工作,並設立每天固定的“無會議時段”專注討論產品。這背後的啟示是:當AI極大提升個體效率後,組織最核心的任務不再是管控流程,而是保障最關鍵的決策單元能進行高強度、高質量的思考與共識形成。其次,這也正是“增強”而非“替代”的落地體現。AI負責執行與拓寬思路,而人不可或缺的價值在於最終判斷、對齊預期與把握場景。組織創造這樣的深度溝通空間,就是為了強化“人”在戰略與審美上的最終決策權。最後,那些顛覆性決策正源於此。無論是砍掉項目還是All in新方向,邏輯都始於“技術能解決用戶的什麼根本問題”。真正的挑戰從來不是分析,而是在答案明確後,有無勇氣打破內部共識與路徑依賴,並將新共識堅決地付諸實踐。高頻、高質量的面對面碰撞,正是我們凝聚這種戰略勇氣、確保共識堅固的關鍵熔爐。楊國安:你認為100分的“AI原生組織”是怎樣的?肖弘:我們給自己打60分,因為很多工作慣性仍沿用舊方式。100分的組織,是AI深度融入每一個工作環節,成為員工的“第一反應”。就像遇到問題先Google一樣,未來員工會本能地先問AI。在新增任務上,我們會優先問:“這個能不能直接交給AI做?” 這才是真正的AI原生工作流。楊國安:我知道你在招聘時,也在努力識別那些真正具備AI原生思維的人才。你是如何識別這些人的?肖弘:我的方法是看他如何實際使用AI。我會請對方展示日常使用AI的痕跡。真正的AI原生者,使用量會遠超常人,AI已深度嵌入其工作流。“There’s No Software”的激進實踐:用AI吞食舊世界楊國安:你曾經提到過“There's No Software”的觀點。你認為Agent的發展將對軟體產業帶來那些影響?肖弘:根據我的觀察,這種影響已經開始形成,主要分為兩大部分。第一部分,是對軟體工程師和技術人員的影響。像Cursor或是Claude Code這樣的產品,已經讓軟體工程師的工作方式發生巨大變化。以我們公司為例,Manus主要的幾位工程師基本上不再親自手寫程式碼。我觀察他們的工作狀態,他們會打開多個Coding Agent窗口,像在與人聊天一樣進行協作。統計發現,我們公司接近80%的程式碼都是由AI生成的。工程師現在做的更多是梳理業務需求、審查程式碼質量、以及架構設計等工作。所以對軟體工程師來說,這種變革是正在發生且會更加徹底。我很難想像幾年後軟體開發會是什麼樣子,或許真的會像科幻片裡那樣,通過自然語言描述就能快速生成一個優秀的產品。第二部分,是對非技術崗位和組織內部IT系統的影響。很多組織內部的非工程師崗位也需要資訊系統支援。過去他們需要搭建內部IT團隊或尋求外部外包服務。我的觀察是,未來這種內部系統或非工程師崗位的資訊系統需求,一定能直接通過 AI Agent來完成。這種變革是巨大的:迭代周期會比外包更短,需求的個性化程度更高,你告訴Agent需求,它能立刻給你實現。這種變化在今天被低估了。Manus在這方面也有投入,我們近期會發佈相關產品。楊國安:AI將如何改變未來的SaaS行業?肖弘:我們的觀察和分析是,也許會分化為兩條路徑:對於存量SaaS,關鍵在於能否成功進行AI化改造。有頂級併購基金判斷,約一半的現有SaaS公司可能無法完成這一轉型。對於新增市場,創業者不必複製舊模式,而應基於已驗證的客戶需求,用AI原生的思維重新建構產品,這將是更大的機會。楊國安:隨著AI Agent有越來越強大的自主性,未來員工人數可能會減少。你是怎麼思考這種技術進步對行業帶來的社會影響?你在產品或技術上有沒有考慮倫理、安全等邊界問題?肖弘:這是一個必須長期思考的問題。一次測試中,Manus為查詢火車時間,在發現官網因罷工無資料後,竟試圖尋找聯絡方式、起草詢問郵件。這讓我們既震撼又警惕。但最後它沒成功,因為它沒有信箱,但它甚至準備去註冊一個信箱。那一刻,我覺得既驚訝又有些害怕。我們的原則是:一是利用好模型廠商已有的安全護欄;二是在關鍵節點設定使用者確認機制,防止AI“過度代表”使用者。作為創業者,我們的責任是釋放技術潛力,同時對其深遠影響保持敬畏與審慎。 (深網騰訊新聞)
Meta新任副總裁:Manus創始人肖弘,90後
Manus的去向終於塵埃落定!和143億美元控股Scale AI如出一轍,小扎再次通過斥資數十億美元收購Manus,將全員招入麾下,Manus創始人出任Meta副總裁!Manus最早引爆了AI Agent市場,本次收購,也是中國科技創業者取得的世界級的重大突破時刻,極具象徵意義。起猛了!就在剛剛,Meta正式收購AI智能體初創Manus,創始人肖弘直接出任Meta副總裁!據傳,交易金額高達數十億美元。這次收購,是Meta成立以來第三大收購,花的錢僅次於WhatsApp和Scale AI。恰在這月,Manus宣佈了這一年來的戰績,僅用了8個月的時間,實現了從0到1億美元ARR。Meta首席AI官Alexandr Wang激動表示,Manus的加入,將在未來幫助Meta打造超贊AI產品!創始人兼CEO肖弘稱,「今天,是我這一生都會銘記的一個時刻」。當我們創立Manus時,幾乎沒人相信通用AI智能體真的能夠落地。有人說這來得太早、太過宏大、也太難實現。但我們還是選擇繼續前行。在質疑中,在一次次挫折中,在無數個夜晚反覆懷疑自己是否在追逐不可能之事時,我們依然沒有停下腳步。而事實證明,我們並沒有選錯。01. 憑什麼被Meta看上?因為它真是「SOTA」Manus到底幾斤幾兩?資料不會撒謊。在Scale AI今年十月發佈的「遠端勞動力指數(RLI)」評測中,Manus以2.5%的自動化率拿到了SOTA。要知道,Scale AI搞的這個RLI可是個「魔鬼測試」。為了搞清楚AI到底能不能替代人類幹活,他們收集了涵蓋遊戲開發、產品設計、建築設計、資料分析、視訊動畫等各行各業的真實外包項目。這些項目總價值超過14萬美元,代表了人類專業人士超過6000小時的實際工作量。其中,有些硬骨頭項目成本甚至超過1萬美元,耗時100多個小時。而Manus之所以能夠在一眾智能體中脫穎而出,甚至被Alexandr Wang親自點贊,靠的就是其新加坡團隊的一項獨門絕技——挖掘「能力溢出」(Capability Overhang)簡單來說,就是把當下大模型那些潛藏的、沒被充分利用的能力給「榨」出來,搭建成超強的AI智能體。02. 上線九個月,狂攬1.25億營收Manus不僅技術硬,賺錢能力更是驚人。這家公司今年3月才剛剛上線,由一家名為蝴蝶效應的公司營運。短短八個月,它的年化營收就突破了1.25億美元。對於Meta來說,這點錢雖然只是九牛一毛,但意義重大。祖克柏為了要在AI領域跟OpenAI、Google、微軟搶地盤,承諾未來三年要在美國基建項目上狂砸6000億美元。投資人看著這燒錢速度早就心裡犯嘀咕了,擔心半天見不到回頭錢。Manus這種已經跑通訂閱模式、能向企業賣服務的成熟產品,無疑能讓Meta的報表好看不少。03. 從中國到新加坡Manus的身世也頗具故事性。它的母公司最早成立於中國,後來才全員搬遷至新加坡,並在舊金山、東京設有分部,員工總數擴充到了105人。今年7月,在裁撤了國內大部分員工並將產品撤出大陸市場後,Manus完成了徹底的「身份轉換」。這一背景曾引發不小的波瀾。今年早些時候,美國頂級風投Benchmark領投了一輪融資,當時Manus的估值近5億美元。因為這層中國背景,Benchmark還被美國議員和其他投資人狠狠批了一頓。但這並沒有阻擋資本的熱情,真格基金、紅杉中國和騰訊都在其投資人名單上。被Meta收購前,Manus進行了4輪融資:對於這些早期支持者來說,賣給Meta絕對是一場大獲全勝的退出。04. 接下來還會發生什麼?Meta在周一的聲明裡給現有使用者吃了個定心丸:Manus的服務照常賣,團隊也不會被打散。Manus CEO肖弘表示:攜手Meta使我們能夠在不改變Manus運作方式和決策機制的前提下,在更強大、更可持續的基礎上發展。雖然還沒細說這幫頂級人才以後歸那個部門管,但可以確定的是,Meta會把Manus的技術整合進自家產品裡。Meta目前的聊天機器人Meta AI已經覆蓋了智能眼鏡、Facebook、Instagram和WhatsApp。有了Manus的加持,也許下次你讓Meta Agent幫你「訂張機票」或「做個PPT」時,它不再是動動嘴皮子,而是真能幫你把活兒幹完了。對了,Manus還計畫很快在巴黎開設新辦公室。看來,這場AI智能體的全球擴張戰,才剛剛開始。而本次收購,也是中國科技創業者取得的世界級的重大突破時刻,極具象徵意義。 (DataFunTalk)
Meta 數十億美元收購 Manus,肖弘將出任 Meta 副總裁
Meta 成立以來的第三大收購。《晚點 LatePost》獨家獲悉,Meta 以數十億美元收購開發 AI 應用 Manus 的公司蝴蝶效應。這是 Meta 成立以來第三大收購,花費僅次於 WhatsApp 和 Scale AI。我們瞭解到,在 Meta 收購前,Manus 正以 20 億美元估值進行新一輪融資。“快到還懷疑過這是不是一個假的 offer。” 真格基金合夥人、蝴蝶效應公司天使投資人劉元說,這次收購談判在極短時間完成,前後不過十餘天。剛開始創始團隊比較糾結,但最終被 Meta 創始人、CEO 馬克·祖克柏開出的條件和願景打動。祖克柏和幾位核心高管也是 Manus 的忠實使用者。劉元說,這對 AI 時代的新一代年輕創業者而言,將是莫大的激勵。“屬於中國這一代年輕創業者的時代,已經到來。”收購完成後,蝴蝶效應公司將保持獨立運作,創始人肖弘出任 Meta 副總裁。“超級智能將帶來個人賦能的新時代:它賦予人們更強大的行動力(agency),讓我們能按自己的意願去推動建設世界。” 今年 7 月,祖克柏在一封公開信中寫道,他們擁有龐大的基礎設施的資源和專業能力,也有通過旗下產品向數十億人提供新技術的能力和意願,“很興奮能集中 Meta 的力量致力於打造這個未來”。同期,Meta 向頂尖的 AI 研究者開出上億美元年薪 offer,重組 AI 研究團隊。數十億美元併購蝴蝶效應,是祖克柏推進 “超級智能” 願景的一部分。蝴蝶效應成立於 2022 年,創始人肖弘是江西吉安人,畢業於華中科技大學,創業起點在武漢,曾開發過兩款微信生態的外掛:微信公眾號排版工具壹伴和企業微信客戶關係管理工具微伴,賣給一家獨角獸公司。蝴蝶效應第一款產品是瀏覽器 AI 外掛 Monica,提供大模型驅動的聊天、搜尋、閱讀、寫作、翻譯等功能。那時行業裡更看好開發大模型的公司做產品,肖弘選擇在大模型基礎上開發外掛,被指為 “套殼”。但 Monica 是中國 AI 行業少有的盈利產品。2024 年初,Monica 剛開始高速增長時,字節跳動高層曾與肖弘在香港單獨會面,出價 3000 萬美元收購蝴蝶效應。同一年,Cursor、Devin 等呼叫大模型解決複雜任務的產品讓模型具備了更強的能力,成了他們開發新產品的靈感來源。經過真格基金投資人的撮合,曾開發出猛獁瀏覽器、Magi 知識搜尋引擎的 90 後連續創業者季逸超,曾在多家公司擔任產品經理的張濤,在 2024 年加入蝴蝶效應,共同帶隊開發出了 Manus。Manus 是一款能夠調度不同的工具解決複雜問題的 Agent 產品,2025 年 3 月上線時就引發國內外的關注和討論。 今年 12 月中旬,Manus 宣佈年度經常性收入(ARR)已突破 1 億美元。被 Meta 收購前,Manus 公司蝴蝶效應一共完成 4 輪融資:2023 年 2 月,種子輪,投後估值  1400 萬美元,投資人:真格基金2023 年 8 月,天使輪,投後估值 5000 萬美元,投資人:真格基金2024 年 11 月,A 輪,投後估值 8500 萬美元,投資人:紅杉中國、騰訊、真格基金、王慧文、Old Friendship Capital2025 年 4 月,B 輪,投後估值近 5 億美元,投資人:Benchmark Capital、真格基金、紅杉中國,騰訊等中美頭部 VC 基金及科技公司創業者今年 3 月,Manus 引發關注時,兩次投資肖弘團隊的劉元說:“硬科技創業者基本都是名門正派,光譜另一端的消費級產品創始人則幾乎都是畎畝之中。”“最近每天都在感嘆,Manus 已經不僅是一個創業公司,更是中國新一代創業精神和希望的象徵。” 真格基金管理合夥人、前聚美優品聯合創始人戴雨森說,他們 “不靠關係,不比資歷,在全球舞台上光明正大同台競技,做到了我們上一代創業者做不了甚至不敢想的事情。” (晚點 LatePost)
Meta 閃電收購 Manus(蝴蝶效應),整合團隊!
Meta 數十億美元閃電收購蝴蝶效應,創第三大併購紀錄12 月 30 日重磅!Meta 砸數十億美元(傳約 108 億)拿下 AI 公司蝴蝶效應,創其成立以來第三大收購,僅次於 WhatsApp 和 Scale AI。談判僅十餘天,速度快到令人咋舌。蝴蝶效應核心產品 Manus 為通用 AI Agent,3 月上線即爆火,12 月中旬 ARR 破 1.25 億美元,已處理 147 兆 token、建立 8000 萬台虛擬電腦。創始人肖弘將出任 Meta 副總裁,公司保持獨立、新加坡營運。一、世紀交易落槌:Meta數十億美元敲定第三大收購2025年末,全球科技界迎來重磅消息——Meta正式完成對AI初創公司蝴蝶效應的收購,交易金額達數十億美元(市場預估15.5億美元,約合108億元人民幣)。這一交易躋身Meta成立以來第三大收購,僅次於2014年190億美元收購WhatsApp、2025年148億美元收購Scale AI,標誌著全球AI競賽進入資源整合決戰階段。收購談判僅十餘天敲定,效率之高令蝴蝶效應天使投資人劉元直言“快到懷疑是假offer”,背後凸顯Meta對核心資產的迫切渴求與戰略決斷。有使用者稱,Manus這個交易價格為15.5億美元(約合108億元人民幣),僅作參考。二、破局者Manus:中國初創的全球AI突圍被Meta收購的Manus並非偶然。Manus這家2022年成立的中國初創企業,從武漢起步,在肖弘帶領下憑藉使用者洞察走出差異化路徑。核心產品Manus作為通用AI Agent,可自主調度工具解決複雜任務,2025年3月上線即引發全球關注,12月中旬年化收入突破1.25億美元,月度增速20%,累計處理超147兆token、建立8000余萬台虛擬電腦。從被質疑“套殼”的Monica到全球AI增長標竿,Manus三年實現估值從1400萬美元至20億美元的飛躍,獲紅杉中國、騰訊、Benchmark等中美頂級資本加持,成為中國新一代創業力量的全球名片。三、戰略卡位:Meta超級智能願景的關鍵落子Meta天價收購的核心是“超級智能”戰略卡位。今年7月,祖克柏在公開信中提出“超級智能將帶來個人賦能新時代”,並承諾三年投入6000億美元建設AI基礎設施。收購Manus是該願景的關鍵落地:一方面,Manus成熟的商業化路徑可為Meta AI投資帶來直接回報,破解“只燒錢不盈利”的質疑;另一方面,其AI Agent技術可與Meta旗下數十億使用者規模的產品矩陣整合,加速AI能力規模化落地。祖克柏本人是Manus長期使用者,而蝴蝶效應保持獨立營運、肖弘出任Meta副總裁的安排,將保障核心團隊與技術穩定。四、時代訊號:中國年輕創業者的全球主場這場收購的意義遠超商業交易,是中國新一代創業精神的全球宣言。肖弘團隊無海外名校光環與大廠高管履歷,憑藉卓越產品工程能力,在全球AI領域“不靠關係、不比資歷”競爭,最終獲定義矽谷創業精神的Meta青睞。正如真格基金戴雨森所言,Manus“做到了上一代創業者做不了甚至不敢想的事情”。從哈佛宿舍起步的祖克柏曾激勵全球創業者,如今中國大學社團走出的肖弘團隊征服矽谷巨頭,印證了中國年輕創業者的全球價值。這不僅為AI時代創業者注入強心劑,更標誌著中國新一代創業者的全球時代正式到來。(深科技)
【讀書筆記】美股、AI與泡沫
2022年底ChatGpt橫空出世,AI自此成為美股的絕對主線。美國科技巨頭紛紛加碼AI,他們的押注也收穫了回報,2023年以來,美股七巨頭(輝達、蘋果、微軟、Google、Meta、亞馬遜、特斯拉)的股價不斷攀升,其中輝達更是一飛衝天,股價上漲10倍,力壓蘋果成為全球市值第一。標普500也在美股七巨頭的帶動下比2023年初上漲了近八成。那麼美股和AI存在泡沫嗎?這一問題已經被聯準會多位高官注意到,里士滿行長Barkin在12月15日公開演說中表達了對美股過於依賴AI的擔憂。對於我們普通人來說,或許更加現實的問題是,在持續上漲3年後,美股或AI的投資還能參與嗎?橡樹資本創始人兼CEO霍華德·馬克斯(Howard Marks)或許能告訴我們答案。馬克斯2025年的第一份備忘錄(On Bubble Watch)和最後一份備忘錄(Is It A Bubble)均緊扣泡沫這一主題。在合計長達28頁的兩篇備忘錄中,馬克斯告訴了我們應當如何判斷是否存在泡沫,美股和AI是否存在泡沫以及我們又該如何看待對AI的投資。泡沫判斷的第一性原理泡沫是金融史中的常客,那麼有沒有什麼指標可以判斷泡沫是否已經出現?例如市盈率或者換手率等。馬克斯的答案是:糾結具體的指標沒有意義,我們應該關注的是投資者的情緒狀態。與其關注特定指標不如觀察你身邊正在發生什麼。. a bubble or crash is more a state of mind than a quantitative calculation. we can accomplish a great deal by merely  assessing what’s going on around us and drawing inferences with regard  to proper behavior.當投資者的情緒狀態達到“非理性繁榮”(irrational exuberance)的時候,泡沫就發生了。那麼投資者的情緒狀態又指的是什麼呢?在馬克斯看來,投資者的情緒狀態是指其對資產價值(value)與價格(Price)相對關係的判斷。投資者樂觀的時候,會認為資產當前的價格低於其價值,悲觀的時候則認為資產當前的價格高於其價值。而當投資者的情緒達到“非理性繁榮”時會發生什麼?那就是認為資產當前的價格遠低於其價值,因此瘋狂買入資產,泡沫由此產生,而當資產的價格高到無法再高的時候,泡沫就將破滅。進一步,如何判斷投資者的情緒是否達到“非理性繁榮”?馬克斯認為有以下三個維度可供參考:對標的資產的絕對崇拜。強烈的害怕錯過機會(Fear of Missing out即FOMO)的情緒。價格永不見頂(No Price Too High)的信念。在這三項中,馬克斯認為No Price Too High信念的出現尤為值得關注:“No price too high” stands out to me in particular.這一現像其實是前兩個維度的結果,當這種信念普遍出現的時候,泡沫大機率已經發生了。No Price Too High的一種變體是——這次不一樣。回顧歷史,每次泡沫中都會有這樣的聲音,用於解釋資產價格的合理性,辯解這次不是泡沫。然而事實證明幾乎每次都一樣。AI天生的泡沫化傾向馬克斯強調新事物更容易引起泡沫,其中道理簡單明了:新意味著未知,未知意味著對新事物的想像力無上限。想像力無上限意味著對價值的判斷無上限。價值無上限給價格無上限(No Price Too High)提供了充足的理由。如果這個新事物又是人們一生只能遇上一次的足以改變未來的機會(a once-in-a-lifetime chance),那麼人們不瘋狂可能才不正常。遠到1630年發生在荷蘭的“鬱金香狂熱”,近到2004年-2006年的次級貸款,莫不是新事物引發的瘋狂所致。而現在擺在我們面前的最重要新事物是什麼?AI一定是其中之一。馬克斯非常認可OpenAI創始人Sam Altman曾說過的一段話:“Are we in a phase where investors as a whole are overexcited about A.I.? My opinion is yes. Is A.I. the most important thing to happen in a very long time? My opinion is also yes.”投資者都對AI很興奮嗎?是的。AI是很長一段時間內最重要的事情嗎?當然也是。可以說AI最大的確定性源於其重要性,這也是投資者對AI如此興奮的基本原因。那麼AI已經泡沫化了嗎?不賣關子,馬克斯直說現在還無法判斷AI是否已經泡沫化,這是因為AI存在巨大的不確定性。馬克斯在備忘錄中提到了多個需要注意的不確定性,但是最重要的是我們無法判斷社會對AI的需求會有多大。社會對AI的需求取決於AI的能力,AI能力越強,社會對AI的需求就越強,AI的價值就越大。Perhaps most importantly, the growth of demand for AI seems totally unpredictable.AI技術快速進步,明年AI能做到什麼,5年之後AI又能做到什麼,現在仍遠是未知數。因此AI到底有多強,換句話說,AI的價值到底有多大,仍難以判斷,在無法判斷價值的情況下,又如何判斷當前的價格是否合理呢?Given the vast potential of AI but also the large number of enormous unknowns, I think virtually no one can say for sure.AI泡沫的支持者和反對者都能找到自己的理由。支持者可以說:對AI的風險投資已經達到了誇張的程度,OpenAI前高管Mira Murati創立的公司Thinking Machines,在沒有任何產品的情況下就獲得了20億美元的融資,100億美元的估值,而且這不是孤例。AI企業大量使用債務融資,並使用SPV美化資產負債表。AI企業之間的循環交易。例如輝達投資OpenAI,而OpenAI承諾購買輝達的晶片。蔓延的FOMO情緒。但反對者也可以說:AI並非空中樓閣,AI應用已經遍地開花。AI的使用者已經高達10億,遠高於網際網路泡沫時期的網際網路使用者。AI巨頭的收入、利潤和現金流非常健康。AI巨頭的市盈率尚在合理區間,當前平均值在31左右,而網際網路泡沫時期高達41。AI還值得投資嗎?先排除一個錯誤選項,馬克斯作為債券投資界的翹楚,告誡我們債券不是AI投資的理想形式。AI的終局可能會出現贏者通吃的局面,如果你通過債券投資的AI企業在競爭中落敗(很可能發生),那麼你的債券投資可能血本無歸。那麼股權投資如何呢?當前AI企業的估值水平,還能參與嗎?馬克斯的答案是:要參與,不應該all-out。AI的重要性是確定的,錯過AI意味著可能會錯過最偉大技術進步(之一)帶來的紅利。但要審慎參與,不應該all-in。因為AI還有很多不確定性,如果事態朝最壞的方向發展(例如社會對AI的需求被嚴重高估),那麼all-in AI將會面臨滅頂之災。那麼如何審慎參與?馬克斯的答案是:適度的倉位(moderate position)有選擇的投資(applied with selectivity )審慎的投資(applied with prudence)馬克斯的答案讓作者不由得想起《黑天鵝》作者塔勒布提出的另一個重要概念——反脆弱。反脆弱是什麼?簡單來說,反脆弱是指事物從不確定性中獲益大於損失的特性。馬克斯審慎參與AI投資的建議就具有明顯的反脆弱性:保持合適的倉位,保留自己從AI增長潛力中獲得巨大收益的機會。有選擇和審慎的投資,有效地將虧損控制在自己能承受的範圍之內。寫到這裡,筆者很感慨,優秀的思想,常常是相通的,思想交融的瞬間,值得我們會心一笑。 (聊聊FED)
為什麼矽谷的產業興起,而波士頓的產業落寞了——讀《區域優勢:矽谷與128號公路的文化和競爭》
《區域優勢:矽谷與128號公路的文化和競爭》回答的一個核心問題是:同為世界著名的電子和半導體產業叢集地區,為什麼矽谷地區興起了,而128號公路最終落寞了?本書從組織結構和文化視角給出了結論:矽谷是一個去中心化的網路產業體系。在這個體系中,生產由專業公司組成的網路組織來實現。這些公司彼此之間競爭激烈,同時又以各種正式和非正式的方式相互合作。在這個網路化的系統當中,最重要的是“關係”——豐富的社會、技術和生產關係促進了矽谷地區的創業和集體學習。正是這種基於本地包容性文化的基因,使得這裡的公司能夠超越它的競爭對手——128號公路地區。相比而言,128號公路(波士頓地區)是一個由少量大公司主導的集中化系統,它抑制了本地其他企業的發展。20世紀70年代,美國加州的矽谷地區和波士頓的128號公路都作為世界領先的電子領域創新中心而獲得國際聲譽。然而在80年代,兩個區域的經濟表現卻開始分化——在矽谷,新一代半導體和電腦初創公司開始建立,而128號公路地區卻無法持續提供大量就業,Prime和王安電腦等老牌公司持續裁員和衰退。圖1. 1959—1990年矽谷和128號公路地區高科技企業就業總體狀況傳統區域經濟學理論的不足傳統的區域經濟學理論通過外部經濟的概念來理解區域經濟發展,認為外部經濟是一個自我強化的聚集體,由技術、資本、專業供應商與服務、基礎設施和大學,以及資訊流動相關的知識外溢等因素疊加而成。但傳統理論無法解釋為什麼專業化的技能、資本和供應商集聚的矽谷產生了自我強化的動力,而在128號公路地區卻造成了停滯與衰退。事實上,企業並非與外界隔絕,而是根植於一種社會與制度環境當中。矽谷地區的產業體系具有去中心化和網路化特徵,能夠不斷地去適應快速變化的市場與技術。矽谷產業體系利用去中心化,通過技術、資本的重組來尋求多種技術機遇,催生了集體技術學習的過程,淡化了公司之間和行業之間的界限。而128號公路地區以獨立的大公司為基礎的產業體系在穩定的市場和技術緩慢變化的環境中發展,大公司享有規模經濟和市場壟斷的優勢,但組織的封閉和資訊的隔離,卻讓大公司在快速變化的市場競爭環境中不堪重負。矽谷:競爭與社區矽谷和128號公路被視為產業同行,是旗鼓相當的電子產業創新中心。但兩地的表面差異較為明顯:128號公路所在的東部地區人們偏愛穿西裝打領帶,而加州人喜歡穿牛仔褲和T恤。矽谷地區逐步建立起了非正式的社群關係,當地初創公司被組織成關係鬆散的工程團隊聯盟。矽谷地區東臨舊金山灣、西靠聖克魯茲山脈,地形狹長,最大限度地縮短了公司之間的物理距離。早期開拓者來到矽谷這樣一個缺乏工業傳統的地區,自由地嘗試新技術,也抱著開放性態度創新性地嘗試新的組織形式。一位名叫Don Hoefler的美國記者是矽谷半導體行業的觀察者之一。他發現,矽谷的工程師之間習慣於開展非正式合作。公司和公司之間合作的密切程度令人吃驚,工作時間認認真真搞競爭,業餘時間真心實意交朋友。這種非正式社交成為當地企業和工程師之間廣泛合作和資訊分享的重要途徑。車輪酒吧、Rickey’s和Roundhouse等地是人們喜愛的去處,工程師下班後會來這裡喝一杯,吹吹牛、聊聊天、交流想法,談談幻象電路、脈衝序列、p-n結、隨機儲存器(RAMs)、金屬氧化半導體……通過這些非正式對話,讓人們可以從中獲得有關競爭對手、客戶、市場和技術的最新資訊。在技術和市場快速變化的行業中,這種非正式交流往往比傳統的時效性不強的論壇更有價值。此外,矽谷地區還出現了異常高的跳槽率。70年代,當地電子公司的年均員工流動率超過35%,小公司的員工流動率高達59%。矽谷地區很少有技術人員在一家公司一直工作不跳槽。高人員流動率超越了部門的界限,矽谷地區的技術人員在行業部門內和行業部門之間頻繁流動。與此同時,職業忠誠和友誼也會一直保持著,不會受到跳槽的影響。在矽谷,人們對自己從事的行業的忠誠要遠高於對自己公司的忠誠。相比於對公司的忠誠,人們還有一種更高層次的忠誠,那就是對關係網路的忠誠。儘管許多矽谷的創業者都成了百萬富翁,但大多數人並非是因為受到金錢的驅動,而更多像是為了追求新技術而不斷挑戰的結果。該地區鼓勵冒險的文化,一位從128號公路搬到矽谷的企業家認為,這裡的資訊傳播速度比國內其他地方要快得多。往往新的企業是由在當地別的公司獲得經營經驗和技術能力的工程師所創辦的。風險投資是矽谷創業者的引擎。仙童半導體的尤金·克萊納和唐·瓦倫丁將資本再投資於有發展前景的初創企業,發展出新興金融機構——風險投資。風險投資不僅為所投資企業帶來了資金,也帶來了技能、營運經驗和行業關係網路。加州州立大學和社區學院也是矽谷技術基礎設施提升的重要元素。當地大學在矽谷開設了社區學院,注重回應當地企業的需求,它們與當地公司簽訂合同,為員工教授訂製化的課程,甚至還把課堂搬到了公司車間。到20世紀70年代末,矽谷已經有多達3000家電子製造公司,包括半導體、電腦系統、軟體、電信裝置、軍事航天裝置製造商,以及各種原型機生產公司、機械加工廠和合同製造商。這些公司規模往往較小,70%的公司僱員不到10人。可見,矽谷的去中心化工業體系在一定程度上是由各種非正式的合作實踐和制度耦合在一起的結果。128號公路:獨立性與層級結構位於東海岸波士頓附近的128號公路地區則呈現出一幅不同的圖景。這裡地域開闊,數字裝置公司甚至需要動用直升機來連通星羅棋布的各種機構設施。這種以獨立企業為基礎的工業體系具有規模大和穩定性強的優勢,但是面對不斷快速變化的市場和技術卻反應遲緩。如果說矽谷地區的創業者在當地沒有根基和大家族的家庭紐帶,那麼128號公路地區的工程師社交圈則以大家庭、教堂、當地學校以及市政和社區機構為中心。他們的身份已經被家庭和種族關係所決定。在矽谷很常見的社交聚會場所,在128號公路上似乎從未存在過。東海岸(新英格蘭地區)的保守社會傳統也深深影響了當地勞動力市場的組織和創業模式。在128號公路地區,人們對穩定性和公司忠誠度的恪守超越了對於冒險和創新的推崇。128號公路的高管們更傾向於認為跳槽不可取,喜歡僱傭“長期”從事一類工作的專業人士。一位從128號公路搬到矽谷的企業家提到了兩個地區對待創業的不同態度:在波士頓,如果我說要創辦一家公司,人們會看著我說:“你真的要冒這個險嗎?你的地位已經很穩固了,為什麼要放棄大公司副總裁這麼好的工作?”在加州,如果我決定離開一家公司,我就成了人們心目中的英雄。不僅僅我的同事很興奮,我的保險代理人、我的送水員也都很興奮。每個人都為我的舉動興奮。在128號公路沿線,規避風險的意識不斷得到自我強化。因此,128號公路的創業學習機會比矽谷要少得多。128號公路的企業家在成立新公司之前大多隻有一種工作經驗,大部分公司都是從麻省理工學院分立出來的公司,其創始人通常沒有產業方面的經驗。而在矽谷,大多數企業家以前都曾在好幾家公司工作過。波士頓的風險投資也是當地電子產業趨於保守的重要因素。1981年的資料顯示,風險投資人在馬薩諸塞州只投資了17家處於早期階段的初創企業,而矽谷卻有37家。儘管波士頓地區的資本規模要大得多,但從一開始,更多的資金就投向了西海岸。128號公路科技公司的創始人也受到東海岸老牌公司官僚結構的影響。他們建立的公司具有以下特徵:非常正式的決策程序和管理風格、忠誠的長期僱員以及保守的工作場所規程、嚴格的著裝和工作風格。這種文化確保了人員流動率處於電腦行業最低之列,同時也加劇了大公司與外部世界的疏離。結語:矽谷與128號公路地區對比矽谷和128號公路的鮮明對比表明,建立在區域網路基礎上的工業體系,比基於獨立大公司的工業體系更為靈活,也更具技術活力。矽谷的專業生產者通過不斷變化的競爭與合作模式,集體學習並適應著彼此的需求。相反,128號公路獨立和自給自足的組織結構,將技術變革過程阻隔在公司的邊界之外,妨礙了自身適應性的提升。兩地的比較能夠為產業政策的制定提供啟示。隨著市場專業分工的碎片化和傳統行業邊界的越來越模糊,依靠推廣某些技術或保護特定行業來提高競爭力的做法都被證實是錯誤的。矽谷的產業體系活力不在於任何單一技術或產品,而在於每一個組成部分以及互聯的能力。政策制定不應該是精心設計出來的自上而下的干預或官僚主義的指導,而應該在促進當地利益相關方資訊互通、進行協商和開展合作過程中逐步完善起來。區域工業政策的出發點是培養集體認同感和相互之間的信任,以及支援地方網路的形成和經營。決策者提供交流和辯論的公共論壇,便於當地生產商形成共識、開展合作。 (Pampastoner)